Le Son
Définition physique du Son : Le son est une onde produite à partir d'une vibration, d'un mouvement mécanique. Ces vibrations se propagent sous formes d'ondes longitudinales. On peut parler d'ondes longitudinales lorsque les points matériels se déplacent dans le même sens que le déplacement de l'onde ( l'autre type étant transversale, image ci-dessous ). Les Hommes perçoivent ces vibrations grâce à l’ouïe on parle de sensation auditive.
La science utilise l'acoustique pour étudier comment les sons sont ressentis et interprétés par le corps humain.

a. Caractéristiques du son
Son intensité
L'intensité d'un son ou d'un bruit est mesuré en décibels. On écrit cette unité dB parce qu'il s'agit de dixièmes de bel. L'échelle de bruits courants (ci-dessous) permet de classer tous les bruits selon leur intensité. Il existe une formule pour calculer le nombre de décibels en fonction de la puissance.
L'amélioration acoustique pour être perceptible par l'oreille humaine doit être supérieure à 3dB au minimum. Cependant il est important de savoir que les niveaux sonores ne s'ajoutent pas mais suivent une échelle logarithmique décimale. En effet, si on ajoute deux sources de bruits d'égale intensité alors elles vont produire une source de bruit supérieur de 3 dB. Ainsi :
50 dB + 50 dB = 53 dB

Un logarithme décimal permet de mettre en relation des petits nombres et des très grands nombres comme le montre l'échelle logarithmique décimale ci-dessus.
exemple : Le logarithme décimal de 3 est 1000 : log3 = 1000
Le décibel est une valeur logarithmique.
Sa hauteur
Définition physique de la Hauteur d'un son (ou fréquence sonore) : C'est l'audition de certaines fréquences par l'oreille. Elle est mesurée en Hertz mais peut être également mesurée en MEL, une unité moins connue mais ayant le même rôle que le Hertz. Une oreille humaine peut entendre de 20 à 20 000 Hz, en dessous de 20Hz nous trouvons le domaine des infra-sons (en rouge) alors qu'au delà de 20 000 Hz nous arrivons dans le domaine des ultra-sons (en jaune). En isolation acoustique les fréquences vont généralement de 100 à 5 000 Hz.

Sa vitesse
La vitesse du son est traduit par la vitesse de propagation des ondes sonores qui peuvent se propager dans différents milieux comme gazeux, liquides. De manière général elle se calcule avec la formule v = d/t.
b. Le bruit et les nuisances sonores
Définition du bruit
Un bruit est un " Phénomène acoustique produisant une sensation auditive considérée comme désagréable ou gênante." d'après le compositeur Nicolas Frize. Le bruit est donc un son désagréable ou dérangeant. Un bruit est une perception sonore qui est subjective et qui peut dépendre de plusieurs facteurs comme l'état de santé de l'habitant ou son âge par exemple.
Dans le domaine du bâtiment on distingue deux types de bruits : les bruits Solidiens crées à partir de vibrations des éléments de construction et les bruits Aériens à l'inverse qui se propagent directement dans l'air.
Les Bruits Aériens
Les bruits aériens, comme leur nom l'indique, sont des bruits qui se propagent par l'air et font vibrer les parois d'une pièce, le son traverse donc la paroi et fait vibrer l'air dans les pièces voisines.
Il existe deux types de bruits aériens : Les bruits créés par les conversations, musique ou appareils électroniques sont appelés des bruits aériens intérieurs ; à l'inverse les bruits aériens extérieurs correspondent aux bruits créés par les transports comme les voitures, les avions ou les trains.

Les Bruits Solidiens
Un bruit solidien se traduit par la vibration d'une paroi due à un choc qui fait alors vibrer l'air dans les pièces voisines. Il existe trois types de bruits solidiens : Les bruits liés aux actions de la vie quotidienne comme le déplacement d'un meuble, les bruits de pas ou la chute d'un objet sont appelés bruits d'impact ; les bruits liés à cohabitation comme les ascenseurs ou les garages souterrains et enfin les bruits créés par les équipements individuels, la robinetterie.

Images tirées du livre "L'isolation phonique écologique" de Jean-Louis Beaumier aux éditions TERRE VIVANTE
Parlons de l'image ci dessous, nous pouvons observer les différents trajets que le son effectue pour rentrer dans une pièce.
Pour commencer nous avons la transmission directe, tout simplement le son traverse le mur, directement d'une pièce à une autre.
La transmission indirecte ou encore latérale correspond au passage du son à travers des parois autres que la paroi séparative ( située en face de l'émetteur ).
Enfin, la transmission parasite est causée par des brèches que nous pouvons trouver sur les murs comme des fissures qui laissent passer une partie des ondes sonores.
Nous avons mentionné ce qu'était la transmission d'un son qui traversait un élément de construction ou une isolation phonique. Mais il faut faire une distinction entre un élément de construction simple ou double, c'est un point très important que nous allons développer par la suite.

c. L'isolation Phonique
L'isolation phonique ne modifie pas la fréquence du son mais entraîne la baisse de l'intensité du son. Une intensité acoustique est la puissance transportée par les ondes sonores noté I.

Ii = Ir + Ia + It
Avec:• Ii: Intensité acoustique incidente
•Ir: Intensité acoustique réfléchie
•Ia: Intensité acoustique absorbée
•It: Intensité acoustique transmise
En divisant tous les termes par Ii, on obtient: 1=p+α+𝓣
Avec:
•p= Ir/Ii: coefficient de réflexion
•α= Ia/Ii: coefficient d'absorption de la paroi
•𝓣= It/Ii: coefficient de transmission de la paroi
Il existe plusieurs règle à savoir à propos de l'acoustique.
Premièrement l'indice de l'affaiblissement R.
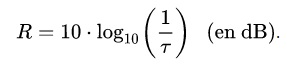
Définition de l'indice de l' affaiblissement R
L'indice d'affaiblissement symbolisé par la lettre R, permet de caractériser la qualité et la performance acoustique d'une paroi comme un mur et de définir l'affaiblissement acoustique. Ce paramètre peut être retrouver dans les laboratoires afin de pouvoir se débarrasser des transmissions latérales.
Attention il faut bien dissocier la différence entre l'isolement et l'indice d’affaiblissement, d'un côté l'isolement n'est qu'un indicateur d’évaluation du bâtiment en fonction de nombreux paramètres tels que les caractéristiques des produits (nature, qualité...). De l'autre coté l'indice d’affaiblissement informe sur les propriétés acoustiques propre à un élément de construction.
On parle d'isolement acoustique élevé lorsque R, exprimé en dB, est une grande valeur.
Formule pour calculer R :

Indice d'affaiblissement acoustique d'une paroi simple
Il existe deux types de paroi dont la paroi simple composée d'un même matériau dans son épaisseur comme du béton, des carreaux de plâtre ou d'un simple vitrage. En négligeant bien sûr les revêtements de surface de finition de masse faible. Dans ce cas l'indice d'affaiblissement est influencé par sa masse, c'est à dire la densité du matériau mais aussi son épaisseur.
R peut s'agrandir en fonction du poids de la paroi, c'est ce qu'on appelle la loi de masse.
A propos des indices, tous deux exprimés en dB, ils caractérisent la performance des éléments de construction à affaiblir les sons, nous avons déjà évoqué l'indice d’affaiblissement acoustique, contre les bruits aériens, qui symbolise la quantité de bruit absorbée ou quand bien même stoppée par le système. Nous retiendrons que plus R est important, meilleur est la performance d’affaiblissement du matériau vis-à-vis des bruits aériens.

L'image représente une paroi simple, c'est a dire un bloc de béton où nous pouvons constater que le bruit passe sans problème, il n'y a rien pour l’amortir.
Indice d'affaiblissement acoustique des paroi doubles
Les parois doubles sont constituées de deux parois simples, séparées par un espace rempli ou non d'un matériau absorbant ou amortisseur. Nous avons comme exemple le double vitrage, cloison en plaques de plâtre....
Dans tous les cas de figures possibles, nous savons que R de parois doubles est forcément supérieur à R parois simple lorsqu'elles ont la même masse surfacique ( une masse surfacique est une grandeur utilisé en physique pour mesurer la masse par unité de surface kg/m2).
En principe, dans le domaine du bâtiment, "bâtir lourd" est la solution la plus sur d'isoler des bruits aériens. Il faut savoir qu'en doublant la masse de la paroi, R augmente généralement de 4dB tandis qu'en diminuant la masse de la paroi, R baisse en moyenne de 4dB.

Cette image illustre le système masse-ressort-masse. Ici la laine minérale joue le rôle de ressort, elle intervenir comme amortisseur, elle est entouré de deux panneaux.
Indice d'efficacité
L'indice d'efficacité s'utilise pour les bruits de chocs, que nous pouvons caractériser de bruits solidiens. Cette indice s'applique de la même manière que l'indice d'affaiblissement mais cette fois-ci il s'adresse plutôt aux revêtements de sol et dalles flottantes.
Bilan
La loi de masse s'applique pour tout type de paroi simple comme les blocs de béton cellulaire, des panneaux ou des blocs de béton ordinaire. Elle s'applique aussi aux matériaux dit écologiques tels les blocs de pierre poncés, les blocs de terre crue ou encore des panneaux d'argile.
Après avoir définit ce qu'était le son et éclairci le terme d'isolation, nous allons voir quels sont les matériaux utilisés pour isoler phoniquement un bâtiment.
